11206 助附印 C233 [大寶積經(七冊精裝加外盒)] 功德徵信錄
11206 助附印 C233 [大寶積經(七冊精裝加外盒)] 功德徵信錄
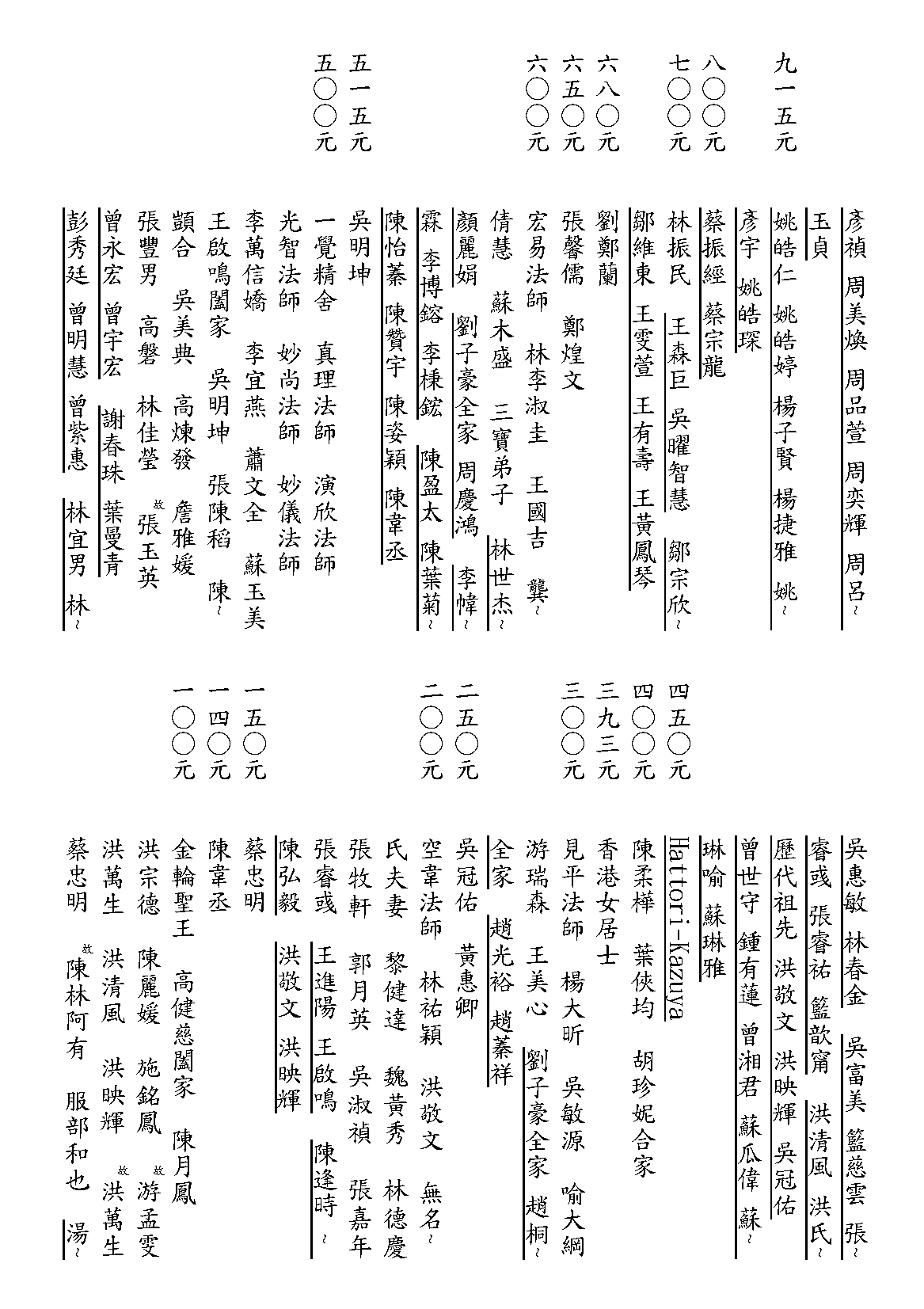
五○○、○○○元 劉白月英
二三八、一○○元 郭啟敏
二○○、○○○元 傅國琦
一○○、○○○元 彭紋絹
七四、○○○元 (蔡十姾 王光正 王騰 王仁杰)
六○、○○○元 (蘇文欣 曾國恩)
五七、六○○元 向國樑
五○、○○○元 惟全法師
四五、○○○元 周本
三二、○○○元 吳采穎
三○、○○○元 (故:張郭貴蘭) 曾煥琮 陳敬一
二五、○○○元 朱薇薇 (向若維 向若慈)
二三、○○○元 (陳秀珍 鄭振興 鄭凱元)
二二、○○○元 孟呂延萍
二○、○五○元 林璨榮闔家
二○、○○○元 性海法師 楊宗棋 楊王碧珠 羅杏珍 蘇癸旨 三寶弟子 呂佛願 傅思偉 傅兆川 許秉璋 韓淑華 (應莉露 林世賢)
一九、二○○元 張日紳
一五、○○○元 張其亮
一四、○○○元 宏竺法師
一一、五○○元 陸佩芳
一一、四○○元 (邱耀萱 邱良明)
一○、○○○元 悟性法師 鄭乃慧 羅應照 董娟 曾粲閎 王佩琦 何武藤 蘇順益 王麗惠 游阿美 余依花 林民山 郭明宗 任台江 駱菱菱 吳郭蜜 (故:溫曾秀英) (羅家康 羅語柔) (廖淑娩 廖淑紋 廖德彰 廖健谷 廖德綸)
九、○○○元 陸錩鏡
八、○○○元 黃稚婷 黃莉淇 黃子嘉 吳姚銘 陳秋東
六、五○○元 蓋育瑞
六、○○○元 吳彥隆 謝彌吉 林淑莉 (陳厚源 江宜臻) (丁玉祥 丁榮星 丁淑蕙 丁淑玲 丁佳玲 丁呂照華)
五、八○○元 [(故:游氏歷代祖先 游秀琴 游石龍 劉碧娥 游瑞光 李錦玲 游昇霖 游佳娟 陳氏歷代祖先 張圳 邱親 陳賓 陳張阿玉 陳志光 陳忠成 陳雲卿 John Hanly 游孟雯)游采蓉 游玲愛 游瑞泰 游瑞森 游瑞陽 陳麗媛 游雅婕 釋焰慧 謝美青 張忠慶 Chris Hanly,Brenda Krenus]
五、五○○元 黃鳳珠
五、三五○元 先天一炁緣惠宮
五、○○○元 吳玉珠 陳青雯 邱鈺翔 曾春敏 陳秋鳳 張旭明 周蕭夢瓊 松田房屋仲介有限公司 蔡季希闔家 (游國材 劉秀美) (許維夫 林佳琪合家) (黃春松 林淑貞 黃思嘉 黃柏維 黃柏華)
四、八○○元 官惠琪
四、二○○元 石碇五路財神廟
四、○○○元 廖淑娩 三寶弟子 朱吳金蕋 張麗真 (楊馮玉秀 李麒麟)
三、八○○元 陳仕洲
三、六○○元 黃耀德
三、五○○元 黃陳澄美
三、二○○元 林世杰
三、○○○元 屏東彌陀寺 楊龍伸 高迺迪 高煉發 蔣陳有菊 戴宇菕 趙蓁祥 三寶弟子 陳玉芬 林煥嶧 孫曾孝 謝黃彩嬌 鍾清龍 劉美金 李桂黎 李陳金桂 林志雄 郭盈初 吳長源 陳美珍 邱聖文 林采婕 吳啟容 韓述玲 應曉薇 陳思帆 (故:鄭陳玉杏) (徐瑾 徐琳) (黃金灶 周春) (陳秀雄 李滿珠 陳曉倫)
二、五○○元 (王忠信 洪偉振 張瓊文 王薇婷 王麗婷)
二、○○○元 福慧精舍 真祥法師 心可法師 王淑娟 陳思妘 劉福珍 陳相諭 林庭米 林洺守 黃麗蓉 三寶弟子 楊胥琪 林瑞芬 水鏡居士 王怜絨 蕭汝珍 簡慧慈 隱名氏 林賢民 胡雅雯 沈信宏 何正權 黃雪霞 三寶弟子兩位 吳莉怡 李雪月 方呂英琴 余純卿 蕭清仁 沈宜蓁 安寶琳 崔忠鎮 歐德蔓素食 (故:何漳儒) (陸錩鏡 陸佩芳) (故:陳林阿有 故:謝安村) (李憲國 甯李月華) (故:陸張小妹 張漢鳳) (李庚申 林美蝦) (湯水玉 吳莉心 王善儀 王蓮弘 王善慶) (吳天富 吳賴仁育 李盈瑤 吳宗諦) [(故:吳天賜) 吳天富 吳賴仁育 李盈瑤 吳宗諦]
一、八○○元 法和法師 游雅婕
一、五○○元 靜林禪寺 劉吳倉 涂慧玲 劉張麗貞 二位佛弟子 沈信宏 (故:伍玉珠) (崔忠鎮 崔曌琳) (張智閔 張陳稻 張華楠) (曾明慧 曾紫惠 曾永宏 曾宇宏 彭秀廷)
一、二○○元 修戒法師 陳壽美 (王進陽闔家 王啟鳴闔家)
一、○○○元 心平法師 開芸法師 禪松法師 陳玉瑛 謝中威 謝懷元 謝懷萱 謝懷友 許雲 王萬件 王培雪 謝火旺 李麗雪 李竺珍 陳祈安 陳建宇 林朝忠 陳淑玉 尤佐丞 楊毓菱 楊金河 陳琴 陳宏仁 林陳霞 吳彥伯 戴宇菕 曾銘田 林俊民 張風云 劉凱茹 王百富 郝建原 曹聖發 楊舒珺 吳麗鳳 蕭阜雄 蕭凱堂 吳桂紅 鮑采芙 張瑋珊 陳秋宏 黃雅芳 陳弘錦 龔復 蘇國政 黃姿燕 葉嬌台 鄭金章 林梁醮 陳杉青 鄭長青 范陳貴妹 陳塗菜花 三寶弟子 張碧蓮 陳育澱 (故:謝蒼明) (故:謝趙嬌娥) (故:吳天賜) (故:趙文裕) (故:蕭凱堂) (故:柯賢水) (魏國訓 魏黃秀) (童承龍 趙雪棉) (任艷梅 郭輝) (陸錩鏡 陸佩芳) (張素花 陳美玲) (鄭又寧 鄭旨妤) (呂美月 李孟憙) (林青俞 林淑貞) (李霈姍 李易儒) (鄒宗欣 鄒維東) (修戒法師 王啟鳴合家) (故:黃文慶 故:黃張合) (陳秀英 廖裕民 廖介民 廖真苓) (楊秋萍 張夏銤 陳亦佑 孟憲芸) (黃財澤 李思瑩 李王月霞 陳李國珠) (彭秀廷 曾明慧 曾紫惠 曾永宏 曾宇宏) (陳怡蓁 陳姿穎 陳韋丞 陳盈太 陳贊宇) [(故:王瑞雲 王黃秀雲 華阿水 華洪寶鳳)王志隆 華麗玲] (周冠嫺 陳東松 陳文雄 陳至琳 陳沛青 周彥禎 周美煥 周品萱 周奕輝 周呂玉貞)
九一五元 (姚皓仁 姚皓婷 楊子賢 楊捷雅 姚彥宇 姚皓琛)
八○○元 (蔡振經 蔡宗龍)
七○○元 林振民 (王森巨 吳曜智慧) (鄒宗欣 鄒維東 王雯萱 王有壽 王黃鳳琴)
六八○元 劉鄭蘭
六五○元 張馨儒 鄭煌文
六○○元 宏易法師 林李淑圭 王國吉 龔倩慧 蘇木盛 三寶弟子 (林世杰 顏麗娟) (劉子豪全家 周慶鴻) (李幃霖 李博鎔 李棅鋐) (陳盈太 陳葉菊 陳怡蓁 陳贊宇 陳姿穎 陳韋丞)
五一五元 吳明坤
五○○元 一覺精舍 真理法師 演欣法師 光智法師 妙尚法師 妙儀法師 李萬信嬌 李宜燕 蕭文全 蘇玉美 王啟鳴闔家 吳明坤 張陳稻 陳顗合 吳美典 高煉發 詹雅媛 張豐男 高磐 林佳瑩 (故:張玉英) (曾永宏 曾宇宏) (謝春珠 葉曼青) (彭秀廷 曾明慧 曾紫惠) (林宜男 林吳惠敏 林春金) (吳富美 籃慈雲 張睿彧 張睿祐 籃歆甯) (洪清風 洪氏歷代祖先 洪敬文 洪映輝 吳冠佑) (曾世守 鍾有蓮 曾湘君 蘇瓜偉 蘇琳喻 蘇琳雅)
四五○元 Hattori Kazuya
四○○元 陳柔樺 葉俠均 胡珍妮合家
三九三元 香港女居士
三○○元 見平法師 楊大昕 吳敏源 喻大綱 游瑞森 王美心 (劉子豪全家 趙桐全家) (趙光裕 趙蓁祥)
二五○元 吳冠佑 黃惠卿
二○○元 空韋法師 林祐穎 洪敬文 無名氏夫妻 黎健達 魏黃秀 林德慶 張牧軒 郭月英 吳淑禎 張嘉年 張睿彧 (王進陽 王啟鳴) (陳逢時 陳弘毅) (洪敬文 洪映輝)
一五○元 蔡忠明
一四○元 陳韋丞
一○○元 金輪聖王 高健慈闔家 陳月鳳 洪宗德 陳麗媛 施銘鳳 (故:游孟雯) 洪萬生 洪清風 洪映輝 (故:洪萬生) 蔡忠明 (故:陳林阿有) 服部和也 (湯惠美 湯豐杰) (林益成 黃予杉 黃枝楠 林春桃 黃益軒 黃福寶 黃晏華 林東漢 張鬆 林明瑜 林吏萱 黃予杉肚子裡之孩子 一切眾生)
五○元 張黃卻 夏憶堯 周正平 (故:陳志光)
回向文 C233 [大寶積經(七冊精裝加外盒)]
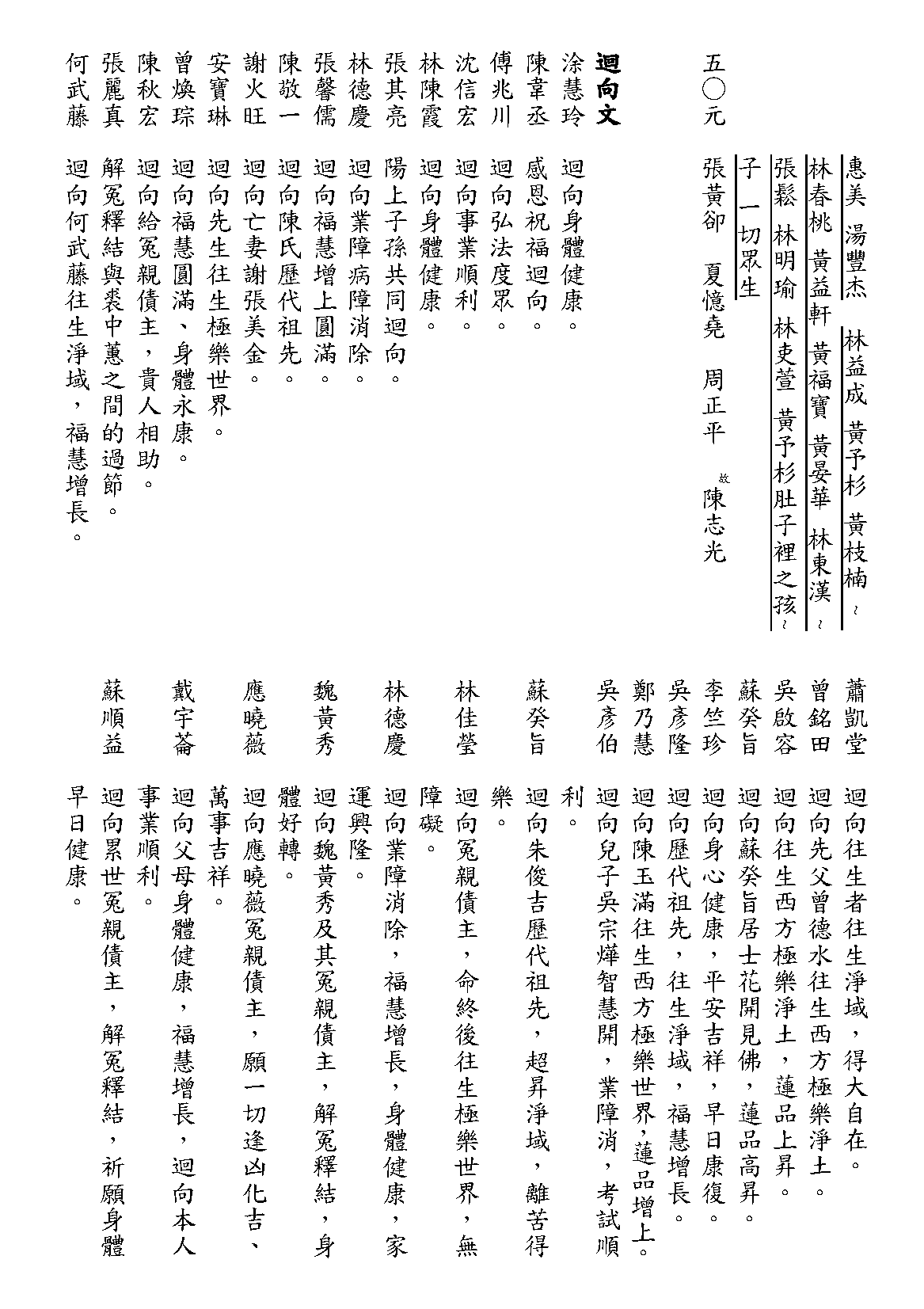
林李淑圭 迴向眾生。
涂慧玲 迴向身體健康。
陳韋丞 感恩祝福迴向。
傅兆川 迴向弘法度眾。
沈信宏 迴向事業順利。
林陳霞 迴向身體健康。
張其亮 陽上子孫共同迴向。
林德慶 迴向業障病障消除。
張馨儒 迴向福慧增上圓滿。
陳敬一 迴向陳氏歷代祖先。
無名氏夫妻 祈求官司順利。
謝火旺 迴向亡妻謝張美金。
劉白月英 迴向亡者劉白月英。
安寶琳 迴向先生往生極樂世界。
曾煥琮 迴向福慧圓滿、身體永康。
黃陳澄美 迴向往生西方極樂世界。
陳秋宏 迴向給冤親債主,貴人相助。
張麗真 解冤釋結與裘中蕙之間的過節。
何武藤 迴向何武藤往生淨域,福慧增長。
蕭凱堂 迴向往生者往生淨域,得大自在。
曾銘田 迴向先父曾德水往生西方極樂淨土。
吳啟容 迴向往生西方極樂淨土,蓮品上昇。
蘇癸旨 迴向蘇癸旨居士花開見佛,蓮品高昇。
李竺珍 迴向身心健康,平安吉祥,早日康復。
吳彥隆 迴向歷代祖先,往生淨域,福慧增長。
鄭乃慧 迴向陳玉滿往生西方極樂世界,蓮品增上。
禪松法師 迴向法師博士論文寫作順利,一切無礙。
吳彥伯 迴向兒子吳宗燁智慧開,業障消,考試順利。
蘇癸旨 迴向朱俊吉歷代祖先,超昇淨域,離苦得樂。
林佳瑩 迴向冤親債主,命終後往生極樂世界,無障礙。
林德慶 迴向業障消除,福慧增長,身體健康,家運興隆。
魏黃秀 迴向魏黃秀及其冤親債主,解冤釋結,身體好轉。
應曉薇 迴向應曉薇冤親債主,願一切逢凶化吉、萬事吉祥。
戴宇菕 迴向父母身體健康,福慧增長,迴向本人事業順利。
蘇順益 迴向累世冤親債主,解冤釋結,祈願身體早日健康。
曾春敏 願以此功德,普及於一切,我等與眾生,皆共成佛道。
高健慈闔家 迴向闔家六時吉祥,往生者往生淨域,蓮品增上。
郭啟敏 伏請地藏菩薩加持母親快速痊癒,身心安康,永無疾病。
林俊民 迴向先父林光遠、先母林廖素瑜,往生淨域,永脫輪迴。
郭啟敏 願地藏菩薩加持,西方三聖接引劉秀真女士往生極樂世界。
傅思偉 功德迴向希望能參加華碩電腦相關人士投資的老人服務事業。
楊宗棋 功德迴向給母親楊陳豆菜,願母親業障消除,早日往生西方淨土。
黃耀德 迴向父黃星耀、母黃靖媛、二舅黃元鴻,往生西方極樂,蓮品增上。
楊王碧珠 功德迴向給婆婆楊陳豆菜,願婆婆業障消除,早日往生西方淨土。
陳宏仁 迴向給我們爸爸張溪石先生這一次住院的一切債主,誰要就先還給誰。
吳玉珠 恭敬迴向 故 朱嘉雄居士與 故 黃玉居士往生西方極樂世界,蓮品增上。
范陳貴妹 迴向業障消除,身體平安健康,臨終往生西方極樂淨土,西方大願圓滿。
郭啟敏 迴向表姊夫李建國先生蒙地藏菩薩加持,西方三聖接引,往生西方極樂世界。
劉張麗貞 迴向十方法界一切眾生,累劫冤親債主,離苦得樂,皈依三寶,速證菩提。
趙蓁祥 迴向先父往生淨域得大自在,母親身體健康,福慧俱增。迴向趙蓁祥的冤親債主。
韓淑華 迴向韓淑華本人和她的冤親債主菩薩們解冤釋結離苦得樂,往生西方極樂淨土,蓮品上增。
郭啟敏 願一家人及過去所養的狗,皆能蒙地藏菩薩加持,現世離苦得樂,捨報時皆能往生極樂世界。
吳莉怡 功德迴向令弟子業消報除、災病消弭、財寶具足、安康富足、稱心所須、受用無盡、早締美滿良緣。
郭啟敏 迴向一家人及過去無量劫眷屬等,今世身心安康,去惡從善,捨報時皆能蒙地藏菩薩加持,西方三聖接引,往生極樂。
郭啟敏 迴向劉慶枝先生蒙地藏菩薩加持、西方三聖接引,往生極樂世界;亦願一家人及過去無量劫眷屬今生捨報時,悉皆如是。
郭啟敏 願母親及家人皆能蒙地藏菩薩加持,業障消除,速得痊癒,身心安康,離苦得樂,去惡從善,永無疾病,今生捨報皆能往生極樂。
洪宗德 迴向一家人(包括先祖父母、先外祖父母),今生捨世時,皆能蒙佛力加被往生極樂世界,亦願過去無量劫眷屬及所有眾生悉皆如是。
蔣陳有菊 迴向體內癌腫瘤及體外一切冤親債主,解冤釋結,離苦得樂,共進佛道。祈願延壽能淨業成就,臨終佛來相迎,往生極樂,迴入娑婆度眾。
郭啟敏 迴向一家人及過去無量劫眷屬,今世身心快速離苦得樂,去惡從善,善願速得,成就圓滿,捨報時,皆蒙地藏菩薩加持,西方三聖接引,往生極樂世界。
郭啟敏 迴向一家人(包括先祖父母、先外祖父母、先父等)及過去無量劫眷屬,今生捨報時,皆能蒙地藏菩薩加持,西方三聖接引,往生極樂世界,亦願所有眾生悉皆如是。
郭啟敏 伏願地藏菩薩加持一家人(包括先外祖父母、先祖父母、先父等)在世時,身心快速離苦得樂,捨世時皆能往生極樂世界;亦願所有過去無量劫眷屬及一切眾生悉皆如是。
夏憶堯 迴向身心安康、疾病早癒、工作事業順利、福慧增長、一切平安幸福、富裕安樂健康吉祥、光明安穩,累劫現世父母、家親眷屬、冤親債主、歷代祖先超昇、離苦得樂。
(故:溫曾秀英) 迴向亡者花開見佛,蓮品增上。
(故:鄭陳玉杏) 迴向往生極樂世界,蓮品增上。
(故:吳天賜) 迴向吳天賜往生極樂國,蓮品增上。
(故:張玉英) 迴向張玉英及其冤親債主,同生西方極樂淨土。
(故:何漳儒) 迴向何漳儒及其冤親債主,往生西方極樂淨土。
(故:柯賢水) 迴向柯賢水及其冤親債主,同往生西方極樂淨土,蓮品增上。
(故:趙文裕) 迴向離苦得樂,往生善處,願他來世能親近三寶,出生死海。
(故:陳林阿有) 迴向陳林阿有及其冤親債主及一切眾生,祈佛力加被皆生西方淨土。
(趙光裕 趙蓁祥) 迴向父親往生主的懷抱。
(向若維 向若慈) 迴向十方法界眾生,早日成佛。
(王進陽 王啟鳴) 迴向所有父親身體健康,福慧增長。
(魏國訓 魏黃秀) 迴向魏國訓、魏黃秀之冤親債主,解冤釋結。
(游國材 劉秀美) 願此功德,與諸有情,平等共有迴向一切智智。
(童承龍 趙雪棉) 迴向找到有緣的良醫,病痛痊癒,身體健康,身心愉快。
(楊馮玉秀 李麒麟) 迴向外婆楊馮玉秀、爸爸李麒麟得生淨土,一切安然逍遙自在。
(蔡振經 蔡宗龍) 迴向業障消除、災病消弭、事業欣欣向榮、財寶具足、安康富足、早證菩提、早取佛智。
(王森巨 吳曜智慧) 迴向業消智開、福慧增長、安康富足、精進學業、現世功成名就、生生世世善願成辦。
(故:陸張小妹 張漢鳳) 迴向消業除障、蓮品增上,並迴向法界一切眾生。
(故:黃文慶 故:黃張合) 迴向亡者黃文慶與黃張合早日離苦得樂,往生西方淨土。
(故:陳林阿有 故:謝安村) 迴向陳林阿有、謝安村及其二位之冤親債主,佛力加被,同生西方極樂淨土。
(陳怡蓁 陳姿穎 陳韋丞 陳盈太 陳贊宇) 感恩祝福迴向。
(陳盈太 陳葉菊 陳怡蓁 陳贊宇 陳姿穎 陳韋丞) 感恩祝福迴向。
(黃財澤 李思瑩 李王月霞 陳李國珠) 懺悔宿世業障,祈求今生業竟,往生西方淨土。
(丁玉祥 丁榮星 丁淑蕙 丁淑玲 丁佳玲 丁呂照華) 迴向全家和樂,平安健康,未來往生西方淨土。
(廖淑娩 廖淑紋 廖德彰 廖健谷 廖德綸) 迴向十方法界眾生、廖家歷代列祖列宗,共懺業障,往生淨土。
(蔡十姾 王光正 王騰 王仁杰) 功德迴向十方法界眾生,累世今生冤親債主,解冤釋結,往生西方極樂世界。
(湯水玉 吳莉心 王善儀 王蓮弘 王善慶) 迴向業消智開、福慧增長、安康富足、精進學業、功成名就、現世及生生世世善願速成。





